Simulating the formation of multiple populations in globular clusters
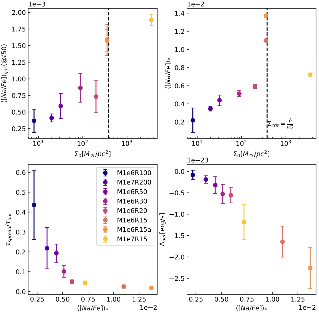
I have implemented a pre-supernova binary yield model into the hydrodynamical code AREPO-RIGEL, carried out a suite of giant molecular cloud simulations with varying initial masses and radii, and analyzed the chemical and dynamical evolution of second-generation material. These simulations revealed a fundamental “time budget” problem: the mismatch between the timing of pollutant release, mixing, and star formation strongly limits the 2P/1P ratio, reaching at most ~6% in isolated GMCs. This finding suggests that isolated star formation and stellar feedback cannot reproduce the observed MPs, motivating us to propose cloud–cloud collisions or shock-driven star formation as promising alternative scenarios. Our work also proved that MP formation is not a simple linear mixing problem, but a complex one linked to the GMC’s energy cycle, phase transitions, and turbulent evolution. This work is supervised by Hui Li of Tsinghua University and Baitian Tang, Long Wang and Liubin Pan of Sun Yat-sen University. For more details please click "in Prep." button below.


